24+ Naskah Lakon Teater Modern
Contoh naskah drama anak sekolah. Wahyu Sihombing Teguh Karya Tatiek Malyati Pramana Padmodarmaja Kasim Achmad.

Seni Budaya Naskah Lakon Teater Modern Youtube
Naskah lakon sebelumnya ditulis dalam bahasa Melayu-Tionghoa bahasa Belanda dan bahasa Daerah.

Naskah lakon teater modern. Penyusunan Naskah Lakon Naskah Lakon Teater Modern Indonesia. Contoh naskah teater modern. Artinya penonton dapat menangkap arti dan makna baik yang tersurat maupun yang tersirat yang kita.
14 Contoh Naskah Drama. Teater modern suatu istilah yang dikaitkan dengan pengaruh dari Barat. Teater Persahabatan Lucu Komedi 3 5 6 7 8 9 Orang Untuk pembahasan kali ini kami akan mengulas mengenai Naskah Drama yang dimana.
Ciri utamanya lakon-lakon yang dimainkan menggunakan naskah tertulis. Menginterpretasi Naskah Lakon Bila kita akan mempertunjukan naskah lakon tertentu maka kita harus mengupayakan agar naskah lakon yang kita pertunjukan tidak berjarak dengan penonton. Konsep Seni Teater Modern serta Teknik Prosedur Pemeranan Seni Teater Modernnya.
31 Naskah Lakon Salah satu ciri teater modern adalah digunakannya naskah lakon yang merupakan bentuk tertulis dari cerita drama yang baru akan menjadi karya teater setelah divisualisasikan kedalam pementasan. Dapat dikatakan Teater Modern mulai tumbuh sejak tahun 1920-an utamanya dalam hal kesusastraan yang terkait dengan lahirnya naskah-naskah lakon yang diawali dengan Bebasari karya Rustam Effendi di tahun 1926. ATNI banyak melahirkan tokoh-tokoh teater di antaranya.
Contoh naskah drama pendek hallo sahabatnesia pernah enggak sih kalian waktu sekolah main drama gitu. SejarahPenyusunan dan Interpretasi Naskah Lakon Teater Modern Indonesia serta Mendeskripsikannya. Kebetulan sekali memang contoh naskah drama ini memang berkenaan dengan cerita anak sekolah.
Naskah Lakon pada dasarnya adalah karya sastra dengan media bahasa kata. Kehidupan Teater Modern Indonesia baru menampakkan wujudnya setelah Usmar Ismail menulis naskah lakon yang berjudul Citra tahun 1943. Suara pemeran teater menempuh jarak yang lebih jauh dibanding dengan suara pemeran di film atau di sinetron.
KELAS XI SMAMASMKMAK 148 SEMESTER 1 Usmar Ismail dan Asrul Sani berhasil membentuk ATNI Akademi Teater Nasional Indonesia pada tahun 1955. Menginterpretasi Dan Mendeskripsikan Dalam Naskah Lakon Teater Modern Indonesia 1. Naskah lakon yang ditulis oleh Usmar Ismail bukan bertema tentang pahlawan-pahlawan epik atau tentang para bangsawan melainkan tentang kehidupan sehari-hari atau tentang manusia Indonesia yang sedang menggalang.
Naskah Lakon Dari Sebuah Teater Modern Indonesia Naskah Lakon Dari Sebuah Teater Modern Indonesia pertama yang menggunakan bahasa Indonesia adalah Bebasari karya Rustam Effendi seorang sastrawan tokoh politik yang terbit tahun 1926. Oleh karena itu naskah drama yang digunakan saat teater juga cukup istimewa.
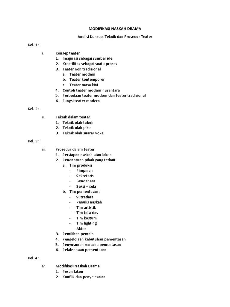
Modifikasi Naskah Drama Kelas 11

Konsep Dan Naskah Lakon Teater Modern Youtube

Naskah Lakon Teater Modern Materi Pembelajaran Seni Budaya Youtube
Naskah Drama Teater Modern Pdf

Dr Sulaiman Juned S Sn M Sn Ppt Download

Buku Ajar Penulisan Naskah Lakon Non Realis Penerbit Deepublish
![]()
Modul Iv Seni Budaya Kb 3 Naskah Teater Tradisional Modern Dan Kon